| 前のトピックを表示 :: 次のトピックを表示 |
| 投稿者 |
メッセージ |
司馬康生
登録日: 2005.11.26 記事: 2522 所在地: 明石市
|
日時: Tue Aug 06, 2019 10:38 pm 記事の件名: 2019年8月3日00時06分09秒 |
|
|
消滅点がかなり低い火球が受かっています。
幸い、消滅点は地上(岐阜県かな?)です。
| 説明: |
|
| ファイルサイズ: |
72.12 KB |
| 閲覧数: |
9609 回 |

|
|
|
| トップに戻る |
|
 |
SonotaCo Site Admin
登録日: 2004.08.07 記事: 13283 所在地: 139.67E 35.65N
|
日時: Wed Aug 07, 2019 8:25 am 記事の件名: Re: 2019年8月3日00時06分09秒 |
|
|
とりいそぎTokyo8の静止画です。
西向き HD の P7 以外に 実験中の 4K U7 でも撮れていますが、U7の方はなぜか後半だけ、 どうやら スローオブジェクトマスクの調整不良のようです。
動画はmp4にしても20MB以上あり、後半のみの動画にしました。
| 説明: |
P7 DMK33GX290e + 6mmF1.4
1/2縮小ピークホールド |
|
| ファイルサイズ: |
192.71 KB |
| 閲覧数: |
9584 回 |

|
| 説明: |
ILCE7S+35mmF2.8
1/4縮小ピークホールド
低速で、後半からになっていました |
|
| ファイルサイズ: |
122.51 KB |
| 閲覧数: |
9584 回 |

|
| 説明: |
| HD動画です 全部だとmp4でも20MBを超えるので前半2秒をカットしました |
|
 ダウンロード |
| ファイル名: |
M20190803_000610_TK(_P7c.mp4 |
| ファイルサイズ: |
17.37 MB |
| ダウンロード回数: |
304 回 |
| 説明: |
|
 ダウンロード |
| ファイル名: |
M20190803_000614_TK8_U7c.mp4 |
| ファイルサイズ: |
11.25 MB |
| ダウンロード回数: |
293 回 |
|
|
| トップに戻る |
|
 |
H.Yamakawa
登録日: 2005.11.01 記事: 3874 所在地: 石川県かほく市 IS2 (TK4は停止)
|
日時: Wed Aug 07, 2019 10:40 am 記事の件名: Re: 2019年8月3日00時06分09秒 |
|
|
Ishikawa2からは最初のみ映っています。
| 説明: |
|
| ファイルサイズ: |
34.56 KB |
| 閲覧数: |
9570 回 |

|
| 説明: |
|
 ダウンロード |
| ファイル名: |
M20190803_000609_IS2_S.mp4 |
| ファイルサイズ: |
733.09 KB |
| ダウンロード回数: |
333 回 |
|
|
| トップに戻る |
|
 |
fairbanks
登録日: 2019.08.25 記事: 33 所在地: 名古屋市
|
日時: Thu Aug 29, 2019 10:59 am 記事の件名: カラー写真をご提供いただきました |
|
|
名古屋市科学館の毛利です。
初めて書き込みをいたします。今後ともよろしくお願いいたします。
名古屋市科学館にご質問を頂いたかたから、この流星の写真をご提供いただきました。
exif、GPSデータで、撮影条件、位置なども確認できます。exif(カメラ)の時刻はずれてましたが、GPS時刻では露出時間内に収まります。
ほぼ真下からの写真で、なにかのお役に立てれば幸いです。
なお、元データは9.1MBあります。必要な方はご連絡ください。
| 説明: |
|
 ダウンロード |
| ファイル名: |
IMGP6366_m.jpg |
| ファイルサイズ: |
694.13 KB |
| ダウンロード回数: |
338 回 |
|
|
| トップに戻る |
|
 |
SonotaCo Site Admin
登録日: 2004.08.07 記事: 13283 所在地: 139.67E 35.65N
|
日時: Fri Aug 30, 2019 8:28 am 記事の件名: Re: カラー写真をご提供いただきました |
|
|
素晴らしい画像の公開ありがとうございます。
落下位置計算されるかどうか分かりませんが、その際には発光終了点、および隕石落下予想地点計算の精度向上に大きな価値があると思います。
|
|
| トップに戻る |
|
 |
fairbanks
登録日: 2019.08.25 記事: 33 所在地: 名古屋市
|
|
| トップに戻る |
|
 |
司馬康生
登録日: 2005.11.26 記事: 2522 所在地: 明石市
|
日時: Tue Sep 10, 2019 9:04 pm 記事の件名: 岐阜県山県市への隕石落下 |
|
|
暫定値での初報です。
上田さんから軌道データを頂いて、隕石落下のシミュレーションを実施しました。
まだ、数値の見直しをしますが、現時点計算では岐阜県山県市佐野、国道418号付近の落下計算例を得ています。
現在の数値で落下質量350g程度、小牧隕石よりは小さいですが、(条件が良ければ)発見可能なサイズです。
ただし、落下途中にきれいに2個に分裂しているので、その半分程度の隕石が2個と考えて頂くのが適切です。
もう少し条件を変えながら、もっともらしい地域、サイズを探したいと思っています。
|
|
| トップに戻る |
|
 |
司馬康生
登録日: 2005.11.26 記事: 2522 所在地: 明石市
|
日時: Tue Sep 10, 2019 10:22 pm 記事の件名: 検討継続中 |
|
|
観測と計算による「時間_地上高度」の比較図を上げます。
つまらない図と思われることでしょうが、経験的にここで観測と計算が一致できるよう数値を調整することが、正解に近付く道では無いかと思っているもので、お許しください。
前回から、若干数値調整をし、落下質量は430g程度の計算となりました。
落下位置はあまり変わりません。
まだもう少し試行錯誤してみます。
| 説明: |
|
| ファイルサイズ: |
11.06 KB |
| 閲覧数: |
9055 回 |

|
|
|
| トップに戻る |
|
 |
Shimoda
登録日: 2006.12.12 記事: 3996 所在地: 長野県朝日村
|
日時: Wed Sep 11, 2019 7:41 am 記事の件名: Re: 岐阜県山県市への隕石落下 |
|
|
意外に大きな質量が出てきたんですね。
消滅点付近は山間部も含みますが、捜索は不可能でない感じです。
最終結果を期待して待ちます。
|
|
| トップに戻る |
|
 |
上田昌良
登録日: 2005.02.07 記事: 3293 所在地: 大阪府
|
日時: Thu Sep 12, 2019 7:09 am 記事の件名: 軌道計算結果 |
|
|
低速で消滅点が低い流星
2019年8月3日0:06:09(JST)出現
報告:上田昌良
_
概要
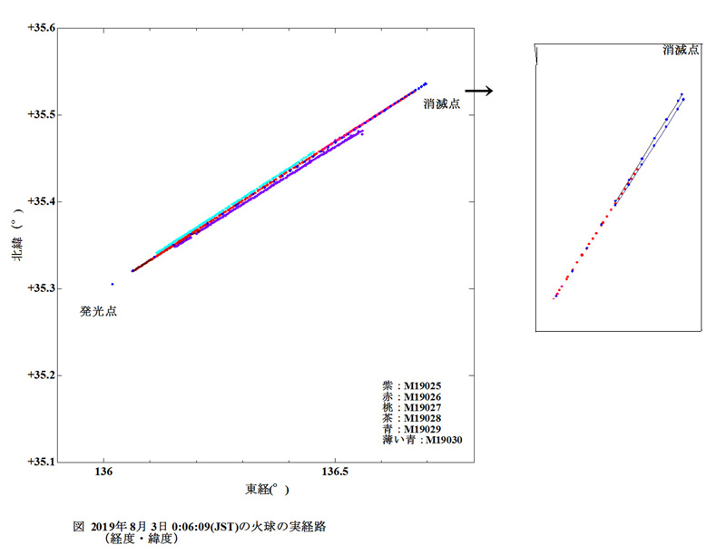
表題の流星が滋賀県高島市上空から岐阜県本単市上空に現れた(経路長92.6km)。軌道計算の結果、初速が15.3km/sと遅く、地球大気による指数関数的な減速がみられ、最後は6.6km/sになった。その消滅点の高さが24.8kmとかなり低かった。この流星の絶対光度は、-3.5等と特に明るくなかったが、隕石落下の予報計算(司馬康生氏)まで進めた。
この流星は、途中で2個に分裂した。その位置測定からの分裂開始地点は高さ30.0kmとなった。この直近の増光点は、次のとおりで
λ=136.609°
φ=+35.506°
h= 32.9km
が分裂開始地点だったと推測した。このように分裂地点を求めることによって、隕石落下の予報に寄与するものと考える。
_
撮影と謝辞
撮影したのは次の諸氏で、5カ所で撮影され、撮影者の方々から流星データや画像などの提供を受けた。次の方々に感謝を申し上げる。
横道順一(岡山県、M19025)、SonotaCo(東京都、M19026、M19027)、
山川博 (石川県、M19028)、名古屋市科学館 毛利勝廣情報提供(M19029)
室石英明(石川県、M19030)
_
さらに詳しくは次の図表を参照されたい。
| 説明: |
|
| ファイルサイズ: |
180.24 KB |
| 閲覧数: |
8970 回 |

|
| 説明: |
| 実経路は大きく拡大しているため、誤差が目立つが決定精度は良い。分裂部分をさらに拡大してある。 |
|
| ファイルサイズ: |
58.36 KB |
| 閲覧数: |
8970 回 |

|
| 説明: |
| 2個の分裂片からの分裂地点の推測。交差角が小さいので決定精度が悪くなっている |
|
| ファイルサイズ: |
85.57 KB |
| 閲覧数: |
8969 回 |

|
| 説明: |
|
| ファイルサイズ: |
62.39 KB |
| 閲覧数: |
8969 回 |

|
| 説明: |
|
| ファイルサイズ: |
32.08 KB |
| 閲覧数: |
8969 回 |

|
|
|
| トップに戻る |
|
 |
司馬康生
登録日: 2005.11.26 記事: 2522 所在地: 明石市
|
日時: Sat Sep 14, 2019 10:56 pm 記事の件名: 落下予報域 |
|
|
落下予報域を提示します。
この計算での落下質量は、45g?180g程度です。
大気突入の初期質量は大気減速を近似させる数値として1.7kgとし、
抵抗係数Cdの超音速域は0.9,1.0,1.1、亜音速域は0.6,0.5,0.4,0.3を採用、
大気データは、輪島、潮岬の観測点の、02日21時(JST)、03日09時(JST)のデータを採用、
上空32km余で2個に分裂した破片それぞれを追跡する形での計算としました。
分裂時点の質量は、0.78,0.39,0.195kgを採用。
図において、2個の破片は、青と茶で色分け、黒は参考のため分裂が無かったケースの位置。
左右2つの塊になっているのは、輪島の大気データを使ったものが東、潮岬が左で、大気データの差です。夏の時期ですので、偏西風の本流から離れた潮岬では風は弱いためです。落下域は、両者の地理的中間くらいの位置ですので、風等の影響も中間くらいが有力です。
経路決定そのものの誤差が数百メートル残っていると思われ、全体の誤差はそれも加算が必要です。
訂正図に差し替え:2019年9月18日21時55分
| 説明: |
|
| ファイルサイズ: |
6.72 KB |
| 閲覧数: |
8722 回 |

|
最終編集者 司馬康生 [ Wed Sep 18, 2019 9:53 pm ], 編集回数 1 回 |
|
| トップに戻る |
|
 |
司馬康生
登録日: 2005.11.26 記事: 2522 所在地: 明石市
|
日時: Thu Sep 19, 2019 9:57 pm 記事の件名: 落下経路等 |
|
|
まず、速度の検討は最初の図のとおり。
V0=17.47km/sくらいでした。
時間,1.5秒くらいまで指数関数近似でよく一致しますが1.5秒頃から2.4秒頃まで、
やや加速気味となって周期的な光度変化期間に対応します。
回転しながら飛行していたのでしょうか。
その後、一転減速しますが、4.2秒頃に2個に分裂した後は、図上は加速に見える変化に一転します。これは指数関数近似がそもそも不適応な期間で加速はしていません。
微妙な変化がよく捉えられていまして、計算上も比較的再現できています。
落下経路図で、青線は潮岬上空の風データ例、茶色は輪島の風データ採用例です。
潮岬では、偏西風というより南東風の高度帯があり、冬の風と大きく違います。
落下質量が小さいほど早く減速し、さらに東風に押されやすく西側に落下となります。
| 説明: |
|
| ファイルサイズ: |
6.74 KB |
| 閲覧数: |
8689 回 |

|
| 説明: |
|
| ファイルサイズ: |
9.58 KB |
| 閲覧数: |
8689 回 |

|
|
|
| トップに戻る |
|
 |
SonotaCo Site Admin
登録日: 2004.08.07 記事: 13283 所在地: 139.67E 35.65N
|
日時: Fri Sep 20, 2019 9:49 am 記事の件名: Re: 落下経路等 |
|
|
隕石落下計算ありがとうございました。
2つに分裂した隕石の計算というのは貴重だと思いました。
ざっとですが、落下予想位置を地理院地図に重ねてみました。
一部は調査可能な地域ですね。
図が違っていました。出し直します
最終編集者 SonotaCo [ Fri Sep 20, 2019 6:12 pm ], 編集回数 1 回 |
|
| トップに戻る |
|
 |
Shimoda
登録日: 2006.12.12 記事: 3996 所在地: 長野県朝日村
|
日時: Fri Sep 20, 2019 2:27 pm 記事の件名: Re: 落下経路等 |
|
|
SonotaCoさんわかりやすい図をありがとうございました。
図中の北緯の数字は正しいようなので、この図はおそらく1分南にずれていると思います。確認願います。
この隕石火球については、現地の確認を考えていて、上田さん、司馬さんとも協議していますが、私の場合稲刈りや地区の行事、家の都合などでまだ具体化できていません。
現地は残念ながら山間地で、山の中はおそらく踏み入ることが困難な感じですから、成果を期待することは難しいかもしれません。
私はこの火球を「岐阜山県隕石火球」と呼んでいます。途中経過等はまたお知らせしたいと思います。
|
|
| トップに戻る |
|
 |
藤原康徳
登録日: 2004.08.10 記事: 3460 所在地: 大阪市淀川区
|
日時: Fri Sep 20, 2019 3:24 pm 記事の件名: RE:落下経路 |
|
|
藤原康徳です
私のほうも地図で見てみました。捜索可能なところもあるようなので現地に行ってみたいと思っています。
もっとも私の場合は車がないので公共交通機関を調べる必要があります。岐阜市か関市からバスかな???
下田さんや司馬さん上田さんが捜索に行かれるときに声をかけていただければ大変うれしいのですが。
|
|
| トップに戻る |
|
 |
|